CRACK CONTROL AND DUCTILITY

 

We are often asked why we use fibers in addition to conventional reinforcement. The answer lies in crack control and ductility.

 

Ductility was one of the key elements when Hans Henrik Bache developed CRC in 1986. The high-strength matrix had already been developed a few years earlier when he invented and patented the DSP concept (Densified Cement / Ultra-fine Particle materials) in 1978, which later became the foundation for the company Densit. With the development of CRC, closely spaced reinforcement was combined with a high-strength matrix and rigid, strong fibers, allowing for steel-like behavior in concrete, with the added benefits of durability, fire resistance, and more. The fibers provided "local" ductility, while the dense reinforcement offered "global" ductility by acting as a stiff frame. The reinforcement divided the fiber-reinforced matrix into small "cells," each capable of developing multiple cracks without losing coherence.

 

By using very high fiber contents (up to 12 vol.%—or more than 900 kg per m³—of very short, thin fibers) and very dense reinforcement, it was possible to achieve extraordinary results. An example is shown in the image below, the result of a test conducted with the Swedish military, where a grenade was fired at CRC panels with a thickness of 20 cm.

IMPACT

CRC
CRC

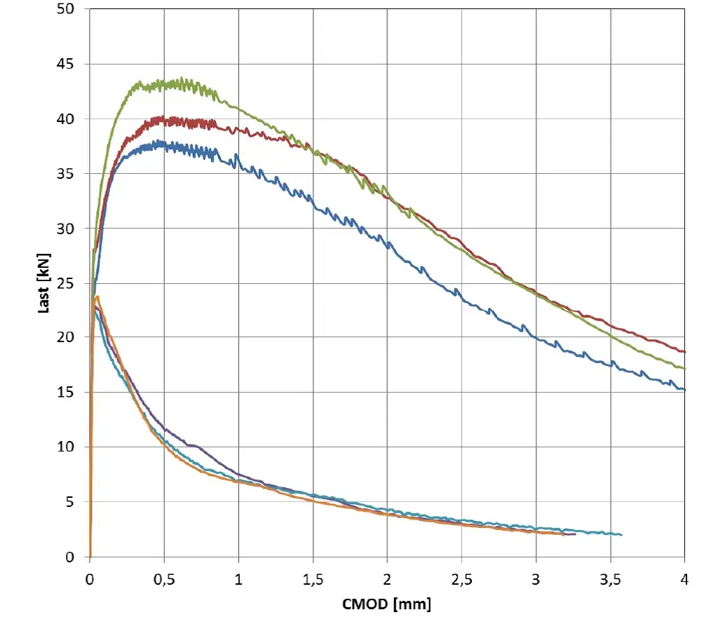
EN 14651 TEST

In the test shown above, we see satisfactory behavior of beams with short steel fibers, while the other fiber type would not be suitable for CRC. Although ductility is an important and integral part of the behavior in CRC, we do not use it directly in our calculations. However, crack control is important for durability, stiffness, deflections, and aesthetic reasons. Ductility is also part of the reason for the effect we see in our "cold bending" tests.

 

Since we need to sell our products every day, we cannot just be satisfied with finding the fiber type and content that gives us the highest strength and toughness. If that were the case, Bache already achieved excellent results back in 1986/87. We need to find the best compromise between performance and price in each case (with a certain minimum performance) to be competitive— and performance in this case also relates to workability. Some fibers that provide good mechanical properties result in very poor workability (something I will address in a later post). Over the years, we have tested many different types of fibers and will continue to do so to take advantage of developments in the field. This knowledge is important for designing the right material for each task.

 

Based on this knowledge—and the work we have done over the years in this field—we want to be able to decide for each project which fiber type and content are best suited. This sometimes brings us into conflict with the requirements of a specific project, where the provider (or their advisor) specifies a certain fiber content without considering the fiber's dimensions and length/diameter ratio.

 

We are always open to discussion—but unfortunately, this is not always the case for the provider. Let us know if you have had similar considerations—or if you prefer relatively simple rules that are easy to relate to and perhaps provide better security. We also welcome your comments or questions. This post has been a (relatively) brief review of some of the parameters we consider when ensuring the necessary toughness for a construction, but we hope it has still been of interest.

READ MORE ABOUT ULTRA HIGH PERFORMANCE CONCRETE

We are ready to assist you with your project!

 

FILL OUT THE FORM AND WE WILL CONTACT YOU